Artigos técnico
Publicado 12/2019
Proteção contra sobrecorrente de sequência negativa e condutores partidos

A ocorrência de condutores partidos é um verdadeiro pesadelo para o engenheiro de sistemas de energia. A grande maioria dos elementos de proteção de rede é projetada para operar em casos onde há excesso de corrente de fase, mas, no caso de condutores partidos, é justamente a ausência de corrente que causa preocupação. Além da redução ou corte de cargas a jusante, os condutores partidos podem causar incêndios, sem serem detectados por técnicas de proteção contra falta à terra ou sobrecorrente. Felizmente, não é tão difícil compreender o mecanismo de uma situação de dano de condutor e, embora as topologias de rede de distribuição de três e quatro fios gerem respostas ligeiramente diferentes, um bom entendimento sobre esses conceitos auxiliará na detecção e proteção contra esse cenário de falta.
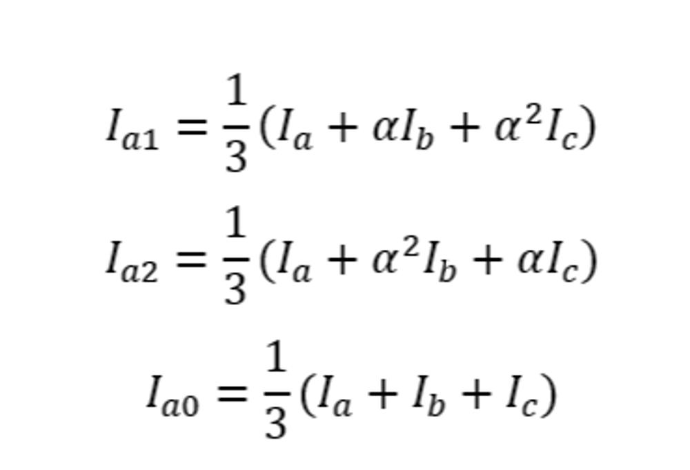
Primeiramente, é importante compreender a teoria de Componentes Simétricas de Fortescue, que pode ser usada para mapear tensões e correntes de fase medidas para os componentes de sequência zero, negativa e positiva. Esse processo de mapeamento permite ignorar o desequilíbrio entre as fases durante a falta, simplificando o processo de análise de falta. Essencialmente, a maioria das técnicas de proteção de Corrente Alternada (CA) utiliza esse processo de transformação para detectar faltas.

Onde:

Ao inserir os valores para cada medição de fasor, podemos derivar a magnitude e a fase de cada um dos componentes da sequência. Em um cenário ideal, um alimentador de distribuição íntegro não deve exibir desequilíbrios e deve, portanto, apresentar apenas uma corrente de sequência positiva. Isso pode ser confirmado por meio da substituição dos valores por um conjunto de fasores de corrente equilibrados nas equações, observando-se as adições resultantes ao zero para cada equação, exceto para a sequência positiva.
No ambiente de distribuição de CA, componentes simétricos não são confinados somente às correntes. Tensões e impedâncias também podem ser representadas em um formato de componente de sequência, simplificando grandemente a análise da falta. Uma análise mais abrangente sobre esse assunto pode ser lida aqui, mas ao considerarmos uma situação de condutores partidos, é importante saber que:
- Fontes de tensão são confinadas a elementos de sequência positiva
- Existe uma impedância equivalente de sequência zero, positiva e negativa para uma rede de distribuição
Sistemas Trifásicos de Três Fios
Ao considerar o cenário de um condutor partido, precisamos, primeiramente, considerar o que acontece em um sistema de três fios.

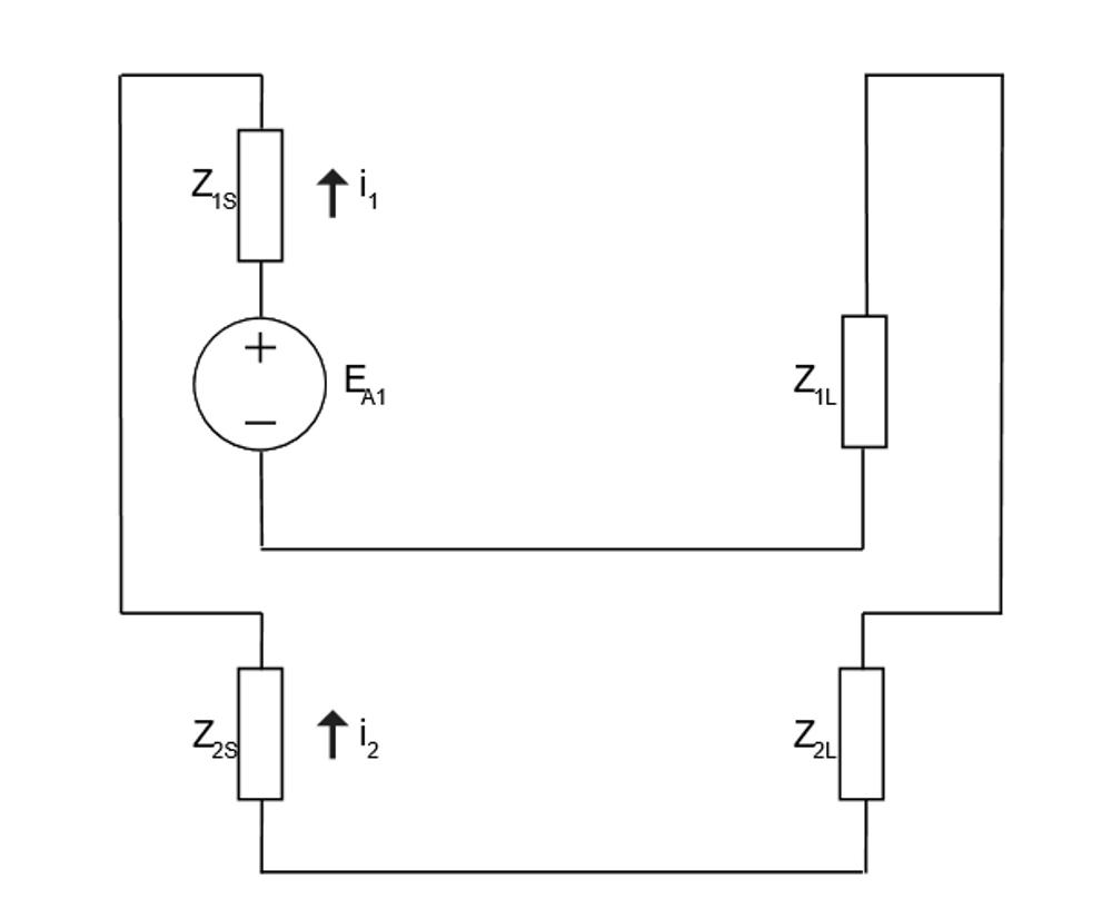
Como um primeiro passo nesta análise, vale a pena compreender o que o condutor partido significará para cada uma das correntes de fase. Com uma descontinuidade na fase A, como mostrado na figura 1, o fluxo de corrente é efetivamente removido. Apesar dos esforços dos geradores trifásicos para empurrar a corrente através das linhas, podemos presumir que nenhuma corrente flui, resultando em um claro desequilíbrio. Podemos reescrever o circuito da seguinte maneira:

Para um engenheiro de proteção experiente, a figura 2 se parece muito com a análise de uma falta fase-fase, o que geralmente faz sentido. Em uma falta fase-fase, a fase intacta parece ter impedância infinita em comparação com uma falta entre os dois outros condutores. A única diferença é que, em uma falta fase-fase, consideramos apenas a impedância da linha, enquanto em uma situação de condutor partido, consideramos a impedância de carga. Conforme falhas de fase para fase, para o cenário de condutor partido em uma linha trifásica, nosso circuito equivalente se torna:

Isso nos mostra algumas pontos fundamentais.
- Em uma situação de condutor partido, a corrente de sequência positiva é idêntica à corrente de sequência negativa. Quando o condutor está intacto, a sequência é 100% positiva e 0% negativa.
- As correntes de sequências positiva e negativa são calculadas usando a mesma impedância.
- A carga ainda pode ser alta o suficiente para que i1 não exceda o nível de pickup da sobrecorrente – perigoso.
Relés de proteção digital modernos geralmente oferecem tanto a proteção de sequência de fase negativa (SFN) quanto a proteção de sobrecorrente. Para o caso de fio triplo, podemos observar que o componente de sequência fase negativa esperado depende da impedância da carga em situações de condutor partido. Sendo assim, a corrente de sequência negativa resultante real depende da topologia da carga no momento da falta. Objetivamente falando, consideramos que, teoricamente, uma rede deve exibir corrente de sequência negativa muito baixa em um estado sem faltas e, portanto, isso poderia justificar a configuração de um ponto operacional consideravelmente baixo para SFN. Isso pode funcionar em situações simples, mas quando a classificação de proteção entre diversos dispositivos se torna um problema, uma falta fase-fase a jusante na zona seguinte pode aparecer como uma falta de SFN na zona a montante, levando a uma condição de corrida entre uma SFN do dispositivo a montante e a função de sobrecorrente convencional do disjuntor mais próximo à falta.
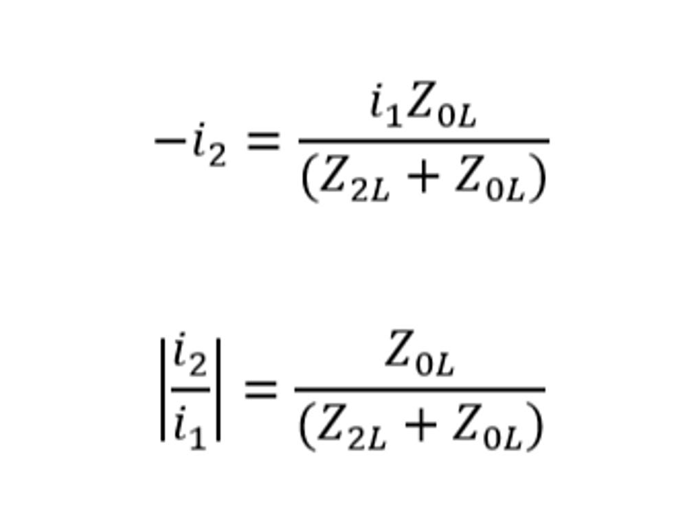
Quando as informações sobre impedância são difíceis de obter, podemos considerar a relação i1 = i2 em um sistema trifásico durante uma falta de condutor partido. Quando ocorre uma situação de condutor partido, em um modelo teórico perfeito:

Ou expresso em um percentual:

Atribuído o código de proteção 46BC (Condutor Partido), esta relação de sequência negativa para positiva exclui a dependência da impedância do cálculo. Assim, independentemente da carga, temos uma sensibilidade à condição de falta do condutor. Para detectar o condutor partido em uma rede trifásica de forma eficaz, seria muito raro que qualquer rede normal trifásica excedesse 20% de relação de sequência negativa para positiva. Sendo assim, é comum que se inicie a configuração deste recurso em campo, classificando os elementos de sobrecorrente ao mesmo tempo em que se contabiliza os casos de descontinuidade de fases.
Sistemas Trifásicos de Quatro Fios
Comum nas topologias de redes norte-americanas e na rede de distribuição de BT na Austrália, a fase trifásica de quatro fios oferece um resultado ligeiramente diferente ao considerar os efeitos de uma descontinuidade de fase.

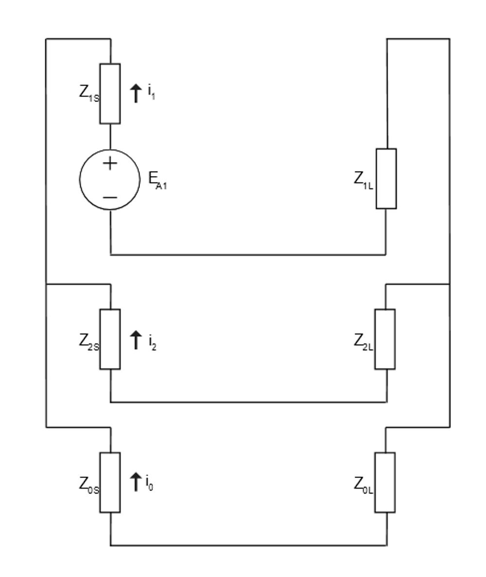
Ao adicionar o condutor neutro, introduzimos uma complicação no cálculo, uma vez que o neutro se torna um condutor de corrente durante condições de desequilíbrio. Muitas vezes, essa é uma consideração de design, permitindo a continuidade do serviço para dois terços dos consumidores em redes de BT, caso uma única fase encontre uma falta mas, ao adicionar o condutor, reduzimos nossa proporção de i2 para i1em situações de condutor partido. Com a inclusão de um condutor neutro, introduzimos o efeito da impedância de sequência zero:

Novamente, observamos uma rede equivalente muito semelhante à falta de Linha Dupla à Terra, exceto pelo fato de estarmos considerando as impedâncias de carga, ao invés das impedâncias da linha. Supondo que as impedâncias da fonte sejam insignificantes em comparação com a carga, temos:

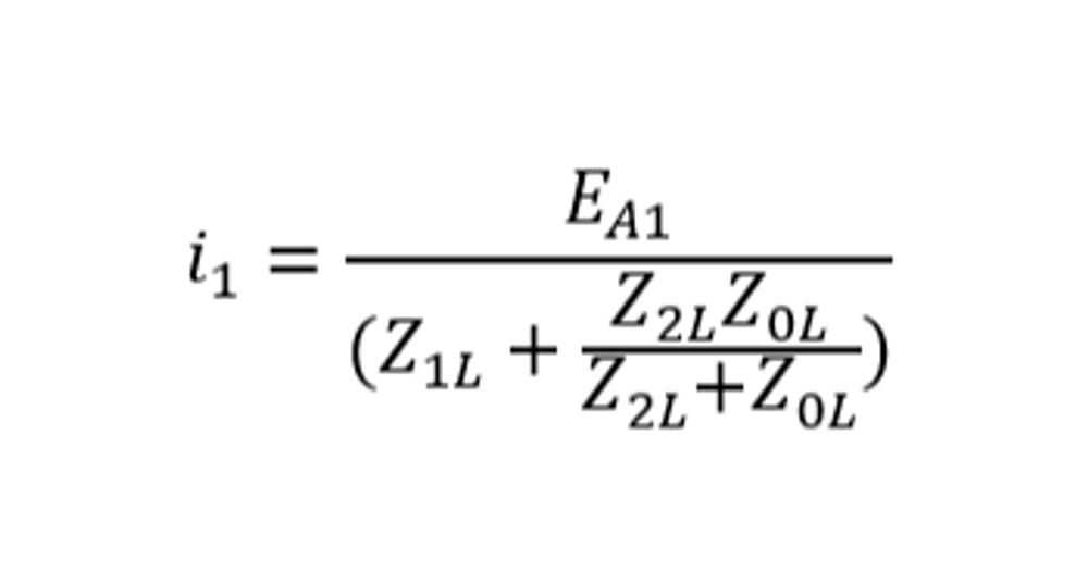
A principal diferença entre os sistemas de quatro e três fios na inclusão da sequência zero no cálculo resultante. Cálculo para i1:

E, supondo que i2 seja negativo e reconhecendo a topologia como um divisor de corrente:

Para calcular a taxa mínima de condutores partidos em um sistema de quatro fios, a impedância de carga de sequência zero e negativa deve ser conhecida. Como regra geral, existe mais impedância de sequência zero do que impedância de sequência negativa, tornando a |i2/i1| razão diferente de zero, porém, na ausência de informações de impedância de carga, seria melhor avaliar empiricamente os dados de campo antes de aplicar o recurso 46BC. A manutenção anterior sugere que uma taxa de 20% |i2/i1| é suficiente para a sensibilidade de redes de quatro fios, mas isso não a torna imune a supostos disparos em redes altamente desequilibradas.
“Embora seja um assunto complexo para se entender completamente, nossa detecção de condutor partido é simples de configurar, exigindo apenas o valor da relação entre as correntes de sequência positiva e negativa para ser programada”, diz o diretor geral do Grupo NOJA Power, “valor que, normalmente, recomendamos ser de 20%. Pode, inclusive, ser configurado como alarme ao invés de disparo, para provar o conceito em sua rede.”
Conclusão
A presença de um condutor partido na rede de distribuição é uma situação que pode ser adequadamente detectada por meio do uso da corrente de sequência de fase negativa. Ao usar somente a SFN, será necessário conhecer a impedância de sequência negativa de uma carga para a realização do cálculo. Redes de três fios são um caso especial, onde as impedâncias da carga de sequências negativas e positivas são canceladas em uma situação de descontinuidade de fase, permitindo que as distribuidoras que operam com redes de três fios usem a proteção de condutor partido |i2/i1| ANSI 46 na ausência de dados de impedância de carga.
Para sistemas de 4 fios, o cálculo se torna marginalmente mais complexo, mas pode ser aproximado por meio de dados empíricos, dando aos engenheiros uma visibilidade maior sobre situações potencialmente perigosas de condutor partido.
O sistema de religadores OSM da NOJA Power é equipado com um pacote completo de elementos de proteção contra condutor partido e sequência de fase negativa, permitindo que as distribuidoras capitalizem os benefícios de sua base de ativos existente, garantindo maior sensibilidade para uma situação de falta tão perigosa, por um valor irrisório.
Referências
- Elneweihi, A.F., Feltis, M. W., Schweizer, E. O., ©1993, “Negative Sequence Overcurrent Element Application and Coordination in Distribution Protection”, IEEE Transactions on Power Delivery, Vol 8, no 3,
- Prévé, C. ©2006, “Protection of Electrical Networks”, ISTE Ltd, ISBN-13: 978-1-905209-06-04
Quer manter-se atualizado sobre a Tecnologia de Distribuição Energia?
Inscreva-se na nossa lista para um boletim técnico semanal gratuito, pois compartilhamos nossa experiência em Engenharia Elétrica Global diretamente em sua caixa de entrada
Inscreva-se →